best365(亚洲集团)体育官网-登录入口
首页
公司概况
365best体育官网登录简介
现任领导
机构设置
办公电话
专业介绍
团队建设
人才培养
专业建设
课程建设
教学科研
基地建设
虚拟仿真
团队队伍
团队概况
教授风采
博士风采
党建工作
组织机构
入党导航
党日活动
组织动态
党章党规
员工工作
团学工作
学习园地
员工风采
心灵驿站
员工作品
就业工作
就业政策
就业信息
就业方向
规章制度
资料下载
员工风采
员工风采
首页
员工工作
员工风采
员工工作
团学工作
学习园地
员工风采
心灵驿站
员工作品
员工风采
青春筑班魂 风采竞荣光——365best体育官网登录举办2025级最美班级评选暨新生风采展示活动
为凝聚班级力量,彰显新生风采,365best体育官网登录于2025年12月17日在江宁校区B101隆重举行2025级“最美班级”评...
2025-12-18
【志愿微光行】童心向暖, 爱无边界 365best体育官网登录志愿者走进陶李王巷社区开展国际残疾人日志愿服...
为持续弘扬平等、包容的文明风尚,12月6日,365best体育官网登录青年志愿者活动中心的志愿者们走进南京市秦淮区陶...
2025-12-11
心光漫游,沐光而行——365best体育官网登录举办“博爱·同心缘”心理游园会分会场活动
冬意渐浓藏暖意,心育温情润校园。为贯彻党的二十届四中全会“加强心理健康和精神卫生服务”要求,落实高等...
2025-11-28
【志愿微光行】童心协力,与你童行——365best体育官网登录志愿者走进南京朝天宫老年公寓开展特殊儿童陪伴...
近日,365best体育官网登录的志愿者们走进南京朝天宫老年公寓,开展“童心协力,与你童行”主...
2025-11-13
手拉手共护粮食安全,聚合力同创美好未来——“粮食节约,人人有责”世界粮食日主题活动
近日,365best体育官网登录成功举办了以“粮食节约,人人有责”为主题的世界粮食日系列活动。本次活动旨在响应联合...
2025-10-22
暑期社会实践(七)安全启蒙伴童行 创意启航暑期梦 ——365best体育官网登录“宁韵童行”志愿队开营仪式
一场生动的安全知识讲座,一次兼具趣味与挑战的知识接力竞赛,人手一份独具个人特色的举牌小扇子,一张汇聚...
2025-07-19
暑期社会实践(六)“星火交融·勇士集结” 365best体育官网登录“童心圆”支教团队长征主题活动日圆满收...
2025年7月16日,在革命热土江西吉安曲濑镇长乐小学,红旗猎猎,迎风招展。童心圆公益支教团队在此启动“星...
2025-07-19
暑期社会实践(五)萤火汇聚社区,共育成长沃土 ——365best体育官网登录“萤星绘梦”实践团开营仪式暨实...
火红七月,青春力量在社区沃土上蓬勃涌动。7月13日上午,南京第五初级中学冶城校区内气氛热烈,教育科学学...
2025-07-16
暑期社会实践(四)非遗美育润童心 特色课程助成长 ——365best体育官网登录“童心圆”公益支教团队特色课...
365best体育官网登录“童心圆”公益支教团队一行13人,携精心研发的特色课程,奔赴江西吉安曲...
2025-07-16
暑期社会实践(三)青春筑梦峡山畔,烛梦启航向未来 —365best体育官网登录“烛梦未来”公益团队前往江西...
为了响应国家乡村振兴的号召,聚焦“科学启蒙助力乡村振兴”与“红色文化铸魂育人”的时代命题。7月9日上午...
2025-07-11
暑期社会实践(二)“童心筑梦,圆爱同行”——童心圆公益支教团队夏令营开营仪式圆满举行
童心汇聚爱,圆梦在支教。2025年7月9日上午,365best体育官网登录“童心圆”公益支教团队与江...
2025-07-09
暑期社会实践(一)墨香童趣伴成长 暑托管理初体验 ——365best体育官网登录“驿路童行”团队暑期社会实践...
7月7日,“驿路童行”志愿服务团队正式启程,兵分两路分别走进南京市秦淮区朝天宫街道张府园社区和止马营社...
2025-07-09
党旗辉映聚民心 红霞跃动凝师魂——365best体育官网登录成功举办第六届中华剪纸展
为丰富员工的课余生活,提升员工们的动手能力和创造力,展现学前教育专业员工扎实的手工技能,传承剪纸这一...
2025-06-10
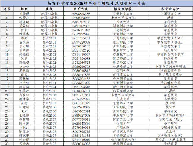
执书卷以问鼎 秉初心而致远——2025届毕业生考研喜报
截至2025年5月,2025届毕业生在全国硕士研究生招生考试中再奏凯歌,25名学子成功考取西南大学...
2025-05-12
每页
20
记录
总共
14
记录
第一页
<<上一页
下一页>>
尾页
页码
1
/
1
跳转到